58 bài thi bị 0 tăng điểm sau phúc khảo, mức cao nhất lên 8,75

Nhiều bài thi tăng từ 0 lên mức từ 7 tới 8,5 điểm.
Ảnh minh họa
Ảnh minh họa

Sở GD-ĐT Tây Ninh vừa công bố kết quả chấm phúc khảo, thi THPT quốc gia 2019. Theo đó có 95 bài thi thay đổi điểm sau khi phúc khảo và đều tăng.

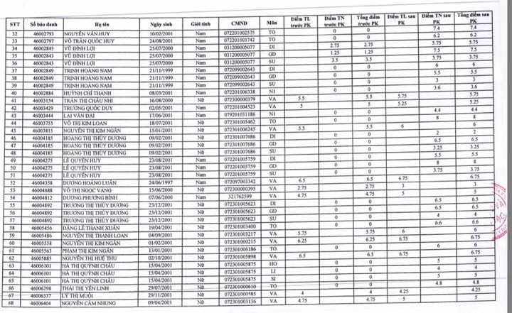
Ở các môn thi trắc nghiệm, có 58 bài thi bị điểm 0, đều tăng sau phúc khảo. Bài tăng điểm nhiều nhất là 0 lên 8,75; Bài tăng điểm ít nhất từ 0 lên 2. Có rất nhiều bài thi tăng điểm từ 0 lên 7; 7,2; 7,5 sau phúc khảo.

58 bài thi bị 0 tăng điểm sau phúc khảo, mức cao nhất lên 8,75 ảnh 1
58 bài thi bị 0 tăng điểm sau phúc khảo, mức cao nhất lên 8,75 ảnh 2
58 bài thi bị 0 tăng điểm sau phúc khảo, mức cao nhất lên 8,75 ảnh 3


Những thí sinh có bài thi tăng điểm nhiều nhất:

Lê Quang Kỳ, điểm phúc khảo môn Vật lý tăng từ 0 lên 8,5.

Nguyễn Thị Thu Thảo điểm phúc khảo môn Giáo dục công dân từ 0 lên 8.

Lê Quang Huy điểm phúc khảo môn Giáo dục công dân từ 0 lên 8.

Nguyễn Thị Kim Thoa điểm phúc khảo môn Giáo dục công dân từ 0 lên 8,75.

Trong số 58 bài thi bị điểm 0, bài tăng điểm ít nhất lên 2.

Ngoài số bài thi bị điểm 0, có 4 bài thi trắc nghiệm khác cũng tăng điểm phúc khảo, trong đó bài thi tăng nhiều nhất là môn Giáo dục công dân từ 1,25 lên 7,5.

Ở môn tự luận (Ngữ văn) có 33 bài thi thay tăng điểm sau phúc khảo. Mức tăng chủ yếu từ 0,25 đến 0,75 điểm. Bài tăng điểm nhiều nhất chênh lệch 1,75.

Trước đó, khi công bố kết quả thi THPT quốc gia 2019, Sở GD-ĐT Tây Ninh đã phát hiện 34 trường hợp bị điểm 0 ở các bài thi môn thi trắc nghiệm gồm Toán 13 bài, Tiếng Anh 9 bài; tổ hợp bài thi Khoa học tự nhiên 4 bài và Khoa học xã hội 8 bài.

Một đại diện của Sở GD-ĐT, cho hay việc hàng loạt bài thi trắc nghiệm bị điểm 0 là điều "bất thường", vì không thể có chuyện một thí sinh thi tổ hợp ba môn mà không làm được bất kỳ câu hỏi nào. Đặc biệt khi tìm hiểu, trong số thí sinh bị điểm 0 có những em học giỏi.

Đơn vị chấm thi trắc nghiệm tại Tây Ninh là Trường ĐH Công nghệ Đồng Nai cũng xác nhận đã phát hiện sự cố khi chấm thi và báo cáo với Bộ GD-ĐT để xử lý.

Theo Vietnamnet
OPEC+ tiếp tục nới hạn ngạch khai thác dầu mỏ thêm 206.000 thùng/ngày
OPEC+ tiếp tục nới hạn ngạch khai thác dầu mỏ thêm 206.000 thùng/ngày
(Ngày Nay) - Tổ chức Các nước xuất khẩu dầu mỏ (OPEC) và các đồng minh - còn gọi là OPEC+ - ngày 5/4 đã nhất trí tăng hạn ngạch khai thác dầu mỏ thêm 206.000 thùng/ngày từ tháng 5 tới. Đây là mức tăng khiêm tốn và chủ yếu chỉ mang tính biểu tượng, do các thành viên chủ chốt trong liên minh không thể tăng sản lượng thực tế bởi cuộc chiến giữa Mỹ và Israel với Iran.
EU triển khai đầy đủ hệ thống kiểm soát xuất nhập cảnh mới từ ngày 10/4
EU triển khai đầy đủ hệ thống kiểm soát xuất nhập cảnh mới từ ngày 10/4
(Ngày Nay) - Từ ngày 10/4/2026, Liên minh châu Âu (EU) sẽ triển khai đầy đủ hệ thống kiểm soát xuất nhập cảnh mới mang tên EES (Entry/Exit System), đánh dấu bước chuyển quan trọng trong hoạt động quản lý biên giới khu vực Schengen. Việc áp dụng kiểm tra 100% đối với hành khách ngoài EU được dự báo sẽ gây ra tình trạng ùn tắc tại các sân bay, nhà ga quốc tế và cảng biển ngay trong những ngày đầu triển khai.
Loạt phim Việt làm nên “kỷ lục doanh thu lịch sử” trong Quý 1/2026
Vì sao phim Việt đầu năm đại thắng ngàn tỷ đồng?
(Ngày Nay) - Các phim Việt Nam ra rạp kể từ đầu năm 2026 đến hết tháng 3/2026 gặt thành công lớn khi lập kỷ lục doanh thu phòng vé lên tới 1.130 tỷ đồng , vượt qua con số 1.110 tỷ đồng cùng kỳ năm ngoái . Điều này cho thấy khán giả đang rất ủng hộ và thích xem phim Việt.
Tổng vốn đầu tư toàn xã hội tăng gần 11% vào Quý I
Tổng vốn đầu tư toàn xã hội tăng gần 11% vào Quý I
(Ngày Nay) - Cục Thống kê, Bộ Tài chính vừa công bố, hoạt động đầu tư trong quý I/2026 tiếp tục duy trì đà tăng trưởng tích cực, với quy mô vốn toàn xã hội mở rộng và dòng vốn đầu tư nước ngoài gia tăng rõ rệt.
Bộ trưởng, Chủ nhiệm Văn phòng Chính phủ Trần Văn Sơn chủ trì họp báo Chính phủ thường kỳ.
Nỗ lực bảo đảm nguồn cung xăng dầu, cung ứng đủ điện
(Ngày Nay) - Chiều 4/4, tại Hà Nội, Văn phòng Chính phủ tổ chức họp báo Chính phủ thường kỳ dưới sự chủ trì của Bộ trưởng, Chủ nhiệm Văn phòng Chính phủ Trần Văn Sơn. Tại họp báo, đại diện lãnh đạo một số bộ, ngành trả lời câu hỏi của các phóng viên liên quan những vấn đề nóng đang được dư luận xã hội quan tâm.